콘드로이친 효능: 관절 건강의 강력한 보호자
중년이 되면서 무릎·관절 통증이 고민이시라면 콘드로이친 효능을 꼭 알아두세요. 콘드로이친 효능은 관절 연골 보호와 통증 완화로 유명하죠. 오늘은 콘드로이친 효능을 과학적으로 설명하며, 왜 많은 사람들이 콘드로이친 효능을 믿고 섭취하는지 자세히 알려드릴게요.
콘드로이친이란? 콘드로이친 효능의 기본 이해
퀘르세틴 효능 : 황산화의 강자
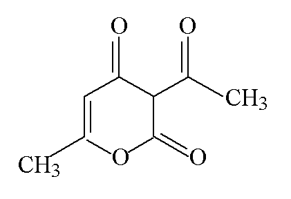
콘드로이친은 연골의 주요 구성 성분인 글리코사미노글리칸으로, 상어 지느러미나 소 연골에서 추출됩니다. 콘드로이친 효능은 관절 윤활과 충격 흡수를 돕는 데 핵심적이에요. 아래는 콘드로이친의 분자 구조 이미지예요.



콘드로이친 효능은 글루코사민과 함께 섭취하면 시너지 효과가 더 커집니다.
콘드로이친 효능 TOP 7: 과학적으로 입증된 효과



- 관절 연골 보호: 콘드로이친 효능으로 연골 분해 효소를 억제해 퇴행성 관절염 진행을 늦춥니다.
- 통증 완화: 무릎·허리 통증을 줄이는 콘드로이친 효능이 연구로 확인됐어요. 하루 800~1200mg 섭취 시 효과적!
- 관절 윤활 강화: 수분을 끌어당겨 관절을 부드럽게 하는 콘드로이친 효능 덕에 움직임이 편해집니다
- 염증 감소: 항염증 작용으로 붓기를 줄이는 콘드로이친 효능이 뛰어나요.
- 뼈 건강 지원: 골다공증 예방에도 도움을 주는 콘드로이친 효능.
- 피부 탄력 개선: 콜라겐 합성을 돕는 부수적인 콘드로이친 효능으로 안티에이징 효과.
- 운동 후 회복 촉진: 스포츠인에게 인기 있는 콘드로이친 효능입니다.



인기 콘드로이친 보충제 제품들:




콘드로이친 효능 극대화 팁: 음식으로 섭취하기
보충제 외에 콘드로이친 효능을 자연적으로 누리려면 콘드로이친 많은 음식을 먹으세요. 상어 지느러미 요리, 연어, 새우, 해삼 등이 대표적이에요.
콘드로이친 효능을 위해 주 2~3회 해산물 식단 추천!
콘드로이친 효능으로 자유로운 움직임 되찾기


콘드로이친 효능은 관절 건강의 필수
함께보면 좋은 정보
알부민 부작용 : 주사 vs 영양제
알부민 부작용: 주사 vs 영양제, 알아두면 좋은 안전 정보! 알부민은 우리 몸의 중요한 단백질이지만, 주사나 영양제로 보충할 때 알부민 부작용이 발생할 수 있어요. 오늘은 알부민 부작용을 의
stellra.goodzzup.com
알부민 영양제 추천: 피로 회복과 건강 관리
알부민 영양제 추천: 피로 회복과 건강 관리를 위한 베스트 선택! 만성 피로와 무기력함에 시달리시나요?알부민 영양제 추천을 찾는 분들이 많아지면서, 오늘은 알부민 영양제 추천 리스트를 자
stellra.goodzzup.com
알부민의 효능: 몸속 단백질의 놀라운 힘
알부민의 효능: 몸속 단백질의 놀라운 힘 완전 분석! 오늘은 알부민의 효능에 대해 깊이 파헤쳐볼게요.알부민은 우리 혈액 속 주요 단백질로, 알부민의 효능을 제대로 알면 건강 관리에 큰 도움
stellra.goodzzup.com
알부민이란? 우리 몸의 숨은 영웅
알부민이란? 우리 몸의 숨은 영웅, 알부민 완전 정복! 결과지에서 자주 보이는 '알부민' 수치, 그냥 스치고 지나치셨나요?알부민은 우리 몸에서 정말 중요한 역할을 하는 단백질인데요.오늘은 알
stellra.goodzzup.com



